C3 linearization演算法可以拿來解決多重繼承的方法優先呼叫順序(Method Resolution Order)。
以下是經典的diamond problem
A
/ \
B C
\ /
D
B繼承A, C繼承A, D繼承B, C。
由於在C++內沒有實作,所以這樣寫是會產生錯誤的。
#include <iostream>
using namespace std;
class A {
public:
void foo() {
cout << "I'm A" << endl;
}
};
class B: public A {
public:
void foo() {
cout << "I'm B" << endl;
}
};
class C: public A {
public:
void foo() {
cout << "I'm C" << endl;
}
};
class D: public B, C {};
int main()
{
D d = D();
d.foo();
return 0;
}
$ clang diamond.cpp
# diamond.cpp:31:7: error: member 'foo' found in multiple base classes of
# different types
# d.foo();
# ^
# diamond.cpp:14:10: note: member found by ambiguous name lookup
# void foo() {
# ^
# diamond.cpp:21:10: note: member found by ambiguous name lookup
# void foo() {
# ^
# 1 error generated.
但在python3卻有不一樣的結果
class A:
def foo(self):
print("I'm A")
class B(A):
def foo(self):
print("I'm B")
class C(A):
def foo(self):
print("I'm C")
class D(B,C): pass
class E(C,B): pass
d = D()
d.foo() # I'm B
e = E()
e.foo() # I'm C
與c++不一樣就算了,連D, E的結果也不一樣,會早成這樣的原因主要是因為python3有對於這種繼承來繼承去的關係做一層解決方案,他們所採用的就是C3 linearization
C3 linearization
L(target) := [target] + merge( L(target_parent1),
L(target_parent2),
... ,
[target_parent1, target_parent2 ...])
L: C3 linearization的function
merge: 合併C3 linearization結果,而合併的流程如下
- 第一組開始,抓第一個單位,且不能出現在其他組的非第一個位置(若是其他組的第一個位置則可以),
- 符合需求,把他從所有的list中抽出來,從頭開始新一輪的尋找
- 不符合需求,遞延找下一組,若遞延到最後一組了,仍沒有符合條件,則停止尋找
從D繼承B, C的例子來看, 應該可以得到下面式子
L(D) := [D] + merge(L(B), L(C), [B, C])
在計算之前我們需要先知道L(B), L(C)的結果,所以先計算L(B), L(C)
L(A) := [A] // 因為A沒有parent,所以list僅有自己
L(B) := [B] + merge(L(A), [A])
= [B] + merge([A], [A])
= [B, A]
L(C) := [C] + merge(L(A), [A])
= [C] + merge([A], [A])
= [C, A]
有了以上結果之後我們回到第一個式子
L(D) := [D] + merge(L(B), L(C), [B, C])
L(D) := [D] + merge([B, A], [C, A], [B, C])
L(D) := [D, B] + merge([A], [C, A], [C]) // 先找第一個A,但A出現在第二組的非第一個位置,所以順延找第二組的第一個C,符合需求
L(D) := [D, B, C] + merge([A], [A], [])
L(D) := [D, B, C, A]
有了以上結果之後,我們可以看一下mro到底是不是這樣,可以用以下程式碼驗證
class A:
def foo(self):
print("I'm A")
class B(A):
def foo(self):
print("I'm B")
class C(A):
def foo(self):
print("I'm C")
class D(B,C): pass
class E(C,B): pass
print(D.mro())
# [<class '__main__.D'>, <class '__main__.B'>, <class '__main__.C'>, <class '__main__.A'>, <class 'object'>]
看起來跟預期的結果一樣,(σ゚∀゚)σ
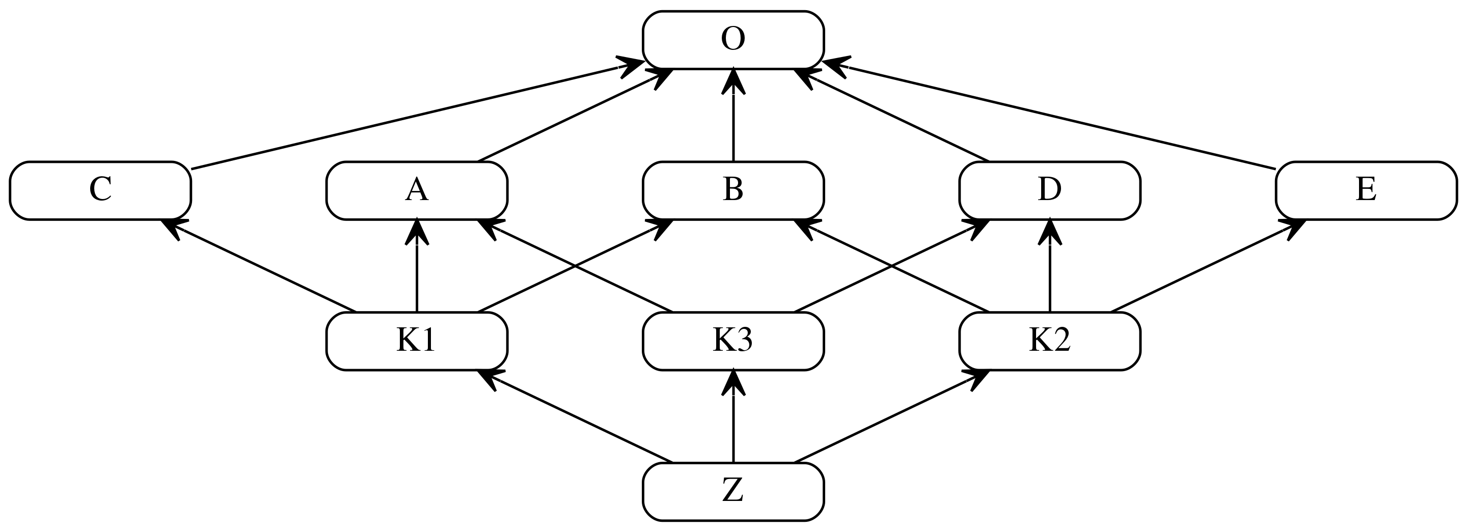
在wiki介紹那邊有一個比較激烈的例子,這邊直接摘錄實戰一下
情境如下

class O
class A extends O
class B extends O
class C extends O
class D extends O
class E extends O
class K1 extends A, B, C
class K2 extends D, B, E
class K3 extends D, A
class Z extends K1, K2, K3
則
L(O) := [O] // O沒有parent了,只有一個O
L(A) := [A] + merge(L(O), [O])
= [A] + merge([O], [O])
= [A, O]
// 下面幾個同L(A),就不寫出推演過程了
L(B) := [B, O]
L(C) := [C, O]
L(D) := [D, O]
L(E) := [E, O]
L(K1) := [K1] + merge(L(A), L(B), L(C), [A, B, C])
= [K1] + merge([A, O], [B, O], [C, O], [A, B, C])
= [K1, A] + merge([O], [B, O], [C, O], [B, C]) // 從第一組第一個的O開始找,但是O有出現在第二組的尾巴和第三組的尾巴,順延第二組的B,符合條件
= [K1, A, B] + merge([O], [O], [C, O], [C])
= [K1, A, B, C] + merge([O], [O], [O])
= [K1, A, B, C, O]
L(K2) := [K2] + merge(L(D), L(B), L(E), [D, B, E])
= [K2] + merge([D, O], [B, O], [E, O], [D, B, E])
= [K2, D] + merge([O], [B, O], [E, O], [B, E])
= [K2, D, B] + merge([O], [O], [E, O], [E])
= [K2, D, B, E] + merge([O], [O], [O])
= [K2, D, B, E, O]
L(K3) := [K3] + merge(L(D), L(A), [D, A])
= [K3] + merge([D, O], [A, O], [D, A])
= [K3, D] + merge([O], [A, O], [A])
= [K3, D, A] + merge([O], [O])
= [K3, D, A, O]
L(Z) := [Z] + merge(L(K1), L(K2), L(K3), [K1, K2, K3])
= [Z] + merge([K1, A, B, C, O], [K2, D, B, E, O], [K3, D, A, O], [K1, K2, K3])
= [Z, K1] + merge([A, B, C, O], [K2, D, B, E, O], [K3, D, A, O], [K2, K3]) // A失敗,找K2
= [Z, K1, K2] + merge([A, B, C, O], [D, B, E, O], [K3, D, A, O], [K3]) // A失敗,D失敗,找K3
= [Z, K1, K2, K3] + merge([A, B, C, O], [D, B, E, O], [D, A, O]) // A失敗,找D
= [Z, K1, K2, K3, D] + merge([A, B, C, O], [B, E, O], [A, O])
= [Z, K1, K2, K3, D, A] + merge([B, C, O], [B, E, O], [O])
= [Z, K1, K2, K3, D, A, B] + merge([C, O], [E, O], [O])
= [Z, K1, K2, K3, D, A, B, C] + merge([O], [E, O], [O]) // O失敗,找E
= [Z, K1, K2, K3, D, A, B, C, E] + merge([O], [O], [O])
= [Z, K1, K2, K3, D, A, B, C, E, O]
這段code可以驗證一下我們剛剛算的
class Type(type):
def __repr__(cls):
return cls.__name__
class O(object, metaclass=Type): pass
class A(O): pass
class B(O): pass
class C(O): pass
class D(O): pass
class E(O): pass
class K1(A, B, C): pass
class K2(D, B, E): pass
class K3(D, A): pass
class Z(K1, K2, K3): pass
print(Z.mro())
# [Z, K1, K2, K3, D, A, B, C, E, O, <class 'object'>]
想知道自己是不是跟python3一樣聰明的話,可以把剛剛上面的例子的Z拿掉K3的繼承,變成Z(K1, K2),算一遍就知道了(σ゚∀゚)σ